This study investigates the acoustic conditions of 26 primary school classrooms during lessons. There was a specific focus on how classroom activity type, student age, and room acoustics shape both speech levels and activity noise. Using Gaussian Mixture Models, the researchers separated teacher and student speech from non-speech activity noise across 93 homogeneous activity periods.
Activity Noise as a Dominant Sound Source
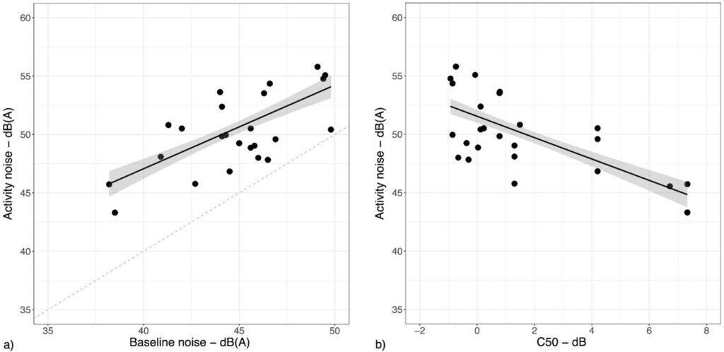
Across lessons, student activity noise (defined as a mix of voices and movements) averaged 50 dB(A), with considerable variation between classes linked to behaviour and acoustic conditions. This value sits close to thresholds known to negatively affect children’s academic performance, particularly in literacy and numeracy tasks. Importantly, activity noise increased classroom sound levels by more than 5 dB above baseline (occupied classroom, with students in quiet and not engaged in any activity), after an initial 10 dB rise from unoccupied to occupied conditions.

The above scatter plots illustrate the relationships between activity noise levels and (a) baseline noise, (b) speech clarity C50. Each point represents the mean value of the activity noise levels monitored in a class during different activities. Baseline noise refers to the classroom in an occupied condition, with students seated in quiet.
Speech Levels and Pedagogical Activity
Speech levels were strongly shaped by activity type: interactive tasks (teacher-led lessons, group work) produced the highest levels, while quiet work produced the lowest. Younger students required and produced higher speech levels, with a 5 dB decrease from Grade II to Grade V. These dynamics also influenced signal to noise ratios (SNRs), which often failed to reach recommended values, especially in younger grades.

The above scatter plot shows the relationship between activity noise and speech levels [dB(A)] measured in classrooms. Each point represents an activity for a specific class. The solid line indicates the fitted linear regression, and the shaded area denotes the 95 % confidence interval.
Understanding the complex mixture of signals and noise in group activities
There was no significant difference in overall sound levels between teacher‑led lessons and group work. This is likely because group work was structured in pairs or small groups under close supervision, helping keep noise controlled. However, the nature of sound sources differs greatly between these activities. In teacher‑led lessons, one speaker acts as the primary signal for the whole class. Whereas group work involves multiple simultaneous conversations, where a voice can be a signal for one group but unwanted noise for another. Even the teacher’s voice may serve as meaningful information for one group while becoming background noise for others. This overlapping of sound roles makes SNR (signal‑to‑noise ratio) difficult to interpret during group work. Although overall levels are similar, the complex mixture of signals and noise in group activities may still create disturbance for students trying to focus.
The Critical Role of Speech Clarity (C50)
A key contribution of the study is showing that speech levels and student activity noise are positively linked to the clarity index (C50), while they are not significantly associated with reverberation time (T30). This suggests that activity noise in classrooms is mainly governed by direct sound and early reflections rather than by late reverberant energy. Because students—the main source of activity noise—are typically seated close to one another, early sound components dominate, making C50 a more meaningful indicator of how noise behaves in occupied classrooms. This also explains why traditional acoustic treatments focused only on reducing late reflections may not be sufficient for controlling activity noise.

The above scatter plot shows the relationship between reverberation time T30 (s) and speech clarity C50 (dB). The data points indicate measured values in occupied conditions, while the line represents the theoretical relationship.
Why C50 Is a Crucial Parameter
- C50 (Clarity index at 50 ms) measures the ratio of early sound energy (within the first 50 milliseconds) to late reverberant energy. It’s expressed in decibels (dB) and indicates how clear speech or music sounds in a space. A higher C50 means better clarity.
- D50 (Definition at 50%) is a related parameter representing the percentage of early arriving sound energy (within 50 ms) relative to the total energy (early + late). It’s expressed as a percentage (%), showing how much of the sound is perceived as direct or early reflections versus overall reverberation.
Where the classrooms are measured with a T30 of around 1 second, the C50 of around 1 dB corresponds to about 56% D50. A T30 of just under 0.8s, the C50 of 4 dB corresponds to about 71.5% D50 and where the T30 is around 0.5s, the C50 of around 7 dB corresponds roughly to a D50 of about 83%.
For more information about this study, the full paper is available here.The study described in the article is part of a larger project, funded by the Italian Ministry of University and Research (MUR) under the PRIN2022-PNRR project “LearN – Learning in Noise.
The authors are Chiara Visentin, a Fixed-Term Researcher (Type A, Italy) at the University of Ferrara, and Nicola Prodi Associate Professor at the University of Ferrara, Italy . Contact Chiara here. References/ acknowledgements and links
The previous article about this study, another related study and presentation from Chiara are available below:

